한솔아카데미 로고

  • 시험정보
  • 수강신청

    실기강의 OPEN

  • 교수소개
  • 교재안내
  • 학습게시판
  • 나의강의실
학습게시판

학습Q&A

HOME>학습게시판>학습Q&A

글보기
제목
2025-1회 / 7번 / 실내측 표면온도
질문유형 온라인강의 > 건축설비기사 실기 종합반 > 조성안
글쓴이 장*추 등록일 2025.10.07 답변상태 답변완료
  •  

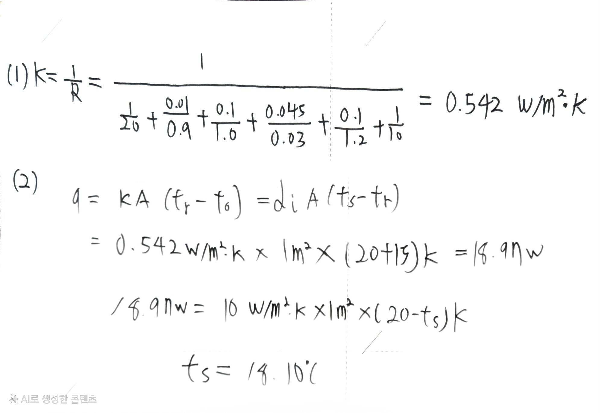
    0. 문제 및 해설

     

     

    교수님 이걸풀이방식을 좀 다르게 해도 상관없겠죠?

     

    아래는 한솔 공조실기책에 실린 해설인데요.

     

    1.  한솔 공조실기

     

     

     

     

    2. 이건 위를 참조해서 제가 푼 내용입니다.

     

     

  • 조성안 |(2025.10.08 08:15)

    네..맞습니다..모두 가능합니다...

    K값 구한법은 교재처럼 1/K로 구하는법과 님처럼 K를 한번에 구하는 법이 있는데..

    같은거지요..우리 교재처럼 식을 세우는 이유는 분자식이 간단해서 이식을 주로 사용합니다..

    참고하세요...

첨부파일

목록